리만가설 = 제타함수의 비자명한 모든 영점의 실수부는 이분의 일이다
....

............................
리만가설을 간단히 설명하자면
"소수에 존재하는 수학적인 규칙"입니다.
여기서 소수는 2, 3, 5, 7, 11... 처럼 1과 자기 자신만으로 나눠질 수 있는 수를 뜻합니다.
현재 소수는 암호 및 보안에서 중요하게 사용되고 있고
미국에서는 일정자릿수 이상의 소수를 알고 있는 사람은 국가기관에 의해 체포까지 된다고 합니다.

오일러 공식에 따르면 소수에도 어떤 규칙성이 존재합니다.
소수의 제곱을 분자로 하고 다시 그 소수의 제곱-1을 분모로 한 수를
계속해서 곱해나가면 원주율에 가까워진다는 공식입니다.
이 공식이 처음 발견되었을때 많은 수학자들이 놀라워했었습니다.
'수'라는 관념이 원주율이라는 실체와 관련성을 가졌기 때문입니다.

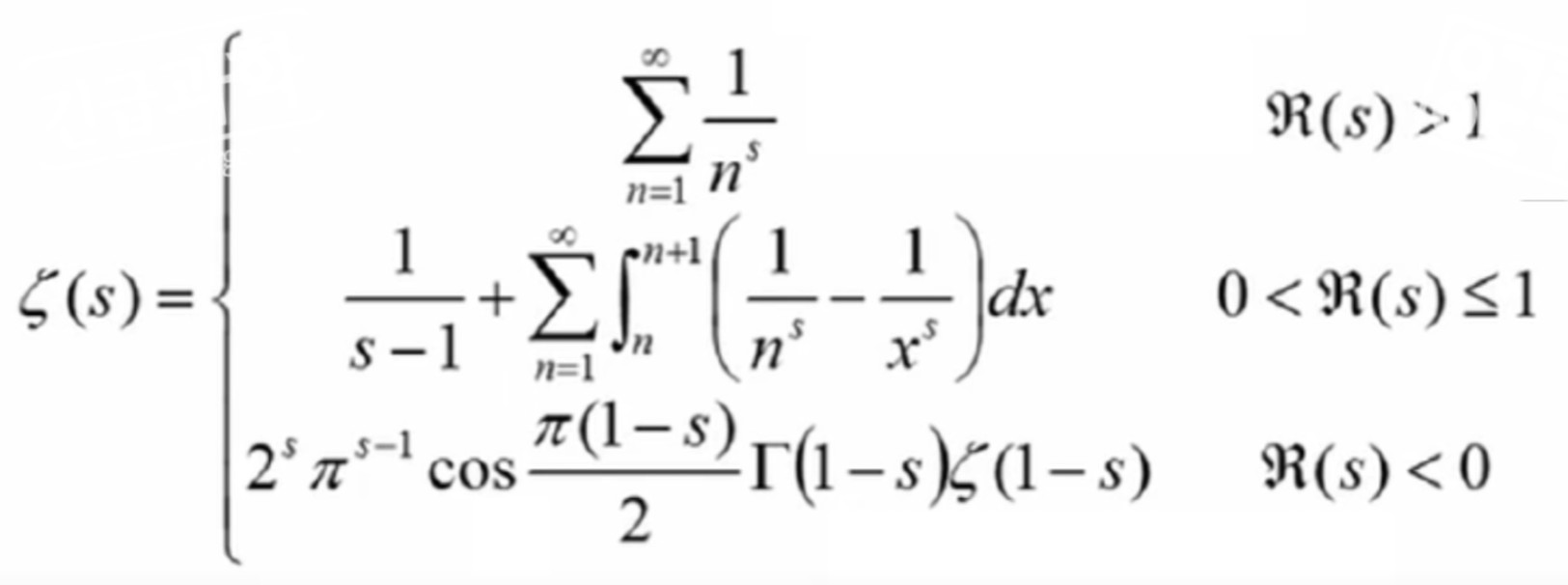
이 오일러 공식에 흥미를 느낀 수학자 '리만'은 '리만 제타함수'라는것을 만들게 됩니다.
이 공식에 따르면 소수가 나타나는데에는 일정한 규칙이 있는 것처럼 보였고
이 소수들간의 간격을 나타내는 공식이 이상하게도
양자역학에서 소립자들의 운동을 나타내는 방정식과 완전히 같다는 것이 밝혀졌습니다.
사실 원자와 소수는 더이상 나눌 수 없다는 공통점을 가지고 있긴 했습니다.
하지만 물리적인 의미로 나눌수 없다는 것과 수학적인 의미로 나눌 수가 없다는 것이
이렇게 일치가 된다는것이 조금 오묘하기도 하고...
정말로 우리가 사는 세상은 컴퓨터 시뮬레이션인 건가??라는 생각이 들기도 합니다.
많은 수학자들이 이 '리만가설'을 증명하려다가 정신분열증에 걸리거나
정신병에 걸려버려서 일각에서는 이 '리만가설'이 세상의 원리와 관계가 있기 때문에
세상의 설계자가 이 비밀에 다가가지 못하게 막아놓는 장치를 해둔 게 아닐까라는
생각을 하는 사람들도 많고 이것과 관련된 음모론들도 많습니다.
음모론은 음모론일 뿐이지만 한 가지 확실한 것은
언젠가 정말로 리만가설이 증명이 된다면 우리는 단순히 소수의 규칙성만 알아내는 것이 아니라
원자의 구성 원리까지 알게 되는 것이고 이것은 우리가 살고 있는 우주의 비밀에 한 발 더 가까이 다가가는 것입니다.
'끄적끄적' 카테고리의 다른 글
| 심상정 후보의 일정중단과 '멸공' 논란에 대해서 (0) | 2022.01.13 |
|---|---|
| 2022년 개편되는 전기차 보조금 (0) | 2021.12.12 |
| 사회이슈 ; 직장내 왕따 ; 이것도 직장내 왕따인가요?) (0) | 2021.10.13 |
| 국산치약은 예쁘면 안되나요?? (0) | 2021.10.07 |
| 개식용 금지를 반대하는 이유 (0) | 2021.09.28 |
댓글